2019年3月24日からの三陸鉄道の一貫運転開始となるダイヤが発表されたので、記事にしちゃうぞ!
現在も東日本大震災による被害で山田線釜石~宮古間と常磐線富岡~浪江間が現在も不通となっている。JR常磐線については福島第一原子力発電所事故による影響が大きいが、山田線の不通が長引いたのは、BRT(バス)化したいJR側と鉄道での復旧を要望する地元側の対立が原因だったと言える。

大船渡線と気仙沼線はBRT化を受け入れたため、比較的早くバスが運行されることになったが、鉄道として復旧することはなくなってしまった。その後、JRから三陸鉄道への移管(と支度金など)を条件にこの区間が復旧することになった。

震災から7年半。2019年8月に全ての軌道工事が終了し、橋梁などの強度確認のため、この区間に震災後初めて鉄道車両が走った。
そして、震災から8年。やっとこの区間に再び鉄道が走ることになる。
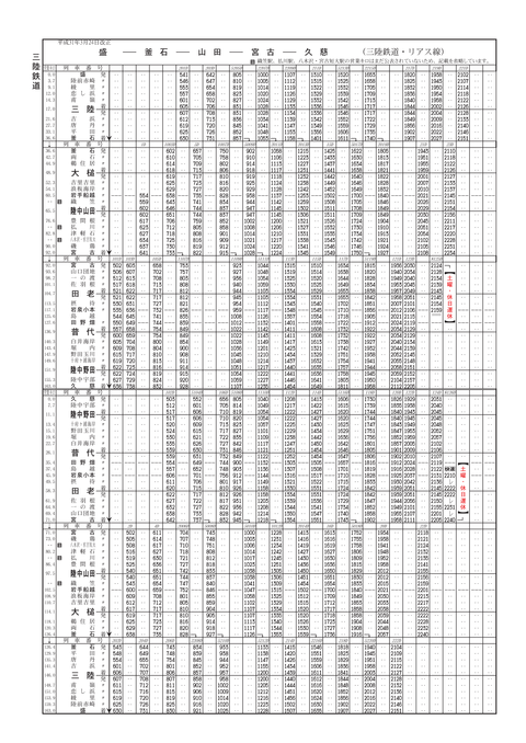
というわけで、三陸鉄道新時刻表を冊子の時刻表形式でどうぞ!

うん。無駄に凝ってしまった。
PDFはこちらからどうぞ!
やっぱこの形式で慣れてるから、こっちの方が見やすいよねぇ。
宮古駅営業体制変更
開業に伴い、宮古駅の敷地、建物は宮古市に全て譲渡(三陸鉄道は上下分離方式なので鉄道設備は宮古市所有)される。JRの営業関係社員も引き上げとなって、駅業務は全て三陸鉄道に移管される予定。つまりは、「みどりの窓口」は廃止。旅行センターも廃止。
なお、三陸鉄道の発表によるとJR乗車券の販売は行うとのこと。また、三鉄ツーリストが窓口営業を始めるということなので、旅行関係商品の販売については問題なさそう。ただ、「みどりの窓口」廃止に伴う代替措置があるのかないのかは不明。他社事例を考えると少なくとも「えきねっと」の受取はできなくなるのではないかと。まぁ、直前に受け取れば問題ないからいいのかな。直接の問題は山田線にたまに走る宮古発指定席連結快速をえきねっとで予約した場合、宮古側では一切受け取れないことになる。
指定席券は……三鉄ツーリストに存在すると言われる「ビジネスえきねっと」で発券するのかな。これが駅窓口に入るのか、三鉄ツーリスト営業時間だけなのか、マルスが残るのかは今のところ不明。
宮古駅の使用ホーム変更
現在、JR宮古駅は1~3番線まであり、それとは別に三鉄線ホームが存在する。
リアス線開業後は三鉄が1~2番線、JRが3番線使用となる見込みで、三鉄線ホームは廃止になる。ただし、観光列車や一部のJR列車は1番線使用で残る模様。
釜石駅の使用ホーム変更

現在、釜石駅は1~4番線まで使用しており、それとは別に三鉄線ホームがある形態。
JR列車は主に1~2番線を使用し、三鉄線が3~4番線を使用することになる。なお、一部JR列車は3番線発着がある模様。なお、三鉄線ホームは今後使用しない模様。
なお、営業体制については特に変更はなさそう。あるとすれば「みどりの窓口」閉鎖か。釜石駅は一応MVが入っているので、「えきねっと」受取は今後も可能。
盛~釜石間 上下各11本(上下各1本増発)
釜石~岩手船越間 上下各11本(JR時代より上下各1本増発)
岩手船越~宮古間 上下各12本(JR時代より上下各2本増発)
宮古~岩泉小本間 上下各13本(うち上下各1本は土休日運休、上下各2本増発)
岩泉小本~久慈間 上下各12本(平日のみ上下各1本減便)
思ったよりは大盤振る舞いダイヤかなと。
さて、これからダイヤグラムも作ったよ。推測した車両運用も分かるようにしたよ。

これはあくまで推測だよ。(車庫がないので)釜石駅・岩手船越駅・岩泉小本駅がらみの折返しは正確だと思うけど、盛駅、宮古駅、久慈駅については車庫があるので、本当にこの通り折り返すかどうかは不明。
運用数は10。そのうち朝のみの運用が2、盛と久慈でお昼寝するのが各1となっている。夜間停泊は盛1、釜石2、久慈2。宮古から出庫するのは5運用となる。
宮古発上り2D列車については2両運転で、途中の岩手船越で切り離す。この車両は折返し岩手船越発1D列車となって宮古に戻る。その他については2両運転があるのかないのか不明。今までなかったのでこれからもないであろうと思われる。
釜石駅の構造上、盛方向の到着出発が4番線からしかできないので、行き違いを行うことができない。そのため運用上は釜石をまたいで直通するけど、列車としては一旦切れるものがある。これはおそらく3番線到着→入換→4番線発車(4番線到着→入換→3番線発車)という手段を踏むものと思われる。
毎月20日に南リアス線を走るイオン提供の無料お買い物列車の処遇も特に発表なし。
通常であれば10運用プラス予備で2運用分の12両あれば運用が回ることになる。
現在の三陸鉄道所有車両数は次の通り。

36-700型。震災後6両導入。今回リアス線開業に伴いさらに4両増備し、合計10両に。

三陸鉄道開業時から走っている36-100型。果たしてこれは残るのか。何両残ってるのかな。

これの右側の車両がレトロ車両である36-R型。これが3両在籍。この車両はレトロ仕様だけど、通常の運用にも使用可能。
このほかにお座敷車両である36-Z型が1両いる。
というわけで36-700と36-Rで全部で13両になることから、もしかしたら36-100は廃車になったりするのかも。来年のラグビーワールドカップまでは増結運用も考えられるので、そこまでは残すけどそれ以降に廃車になる可能性があるよ。
というわけで、明るい話題がない三陸に、久々の明るい話題。
来年の夏ぐらいには三陸鉄道全線貸切列車を走らせたいと思ってるよ。ちょっと、まだ三鉄には話してないんだけどね。全線4時間半じゃ!貸切運賃も高そうだぜ!

みんな!たまには国内旅行しようぜ!
関東に住んでいる人が飛行機で行くのは至難の業だけどな。

ほら、一応ラグビーワールドカップもあるし。左の屋根がワールドカップ会場だよ!
震災からの営業再開
現在も東日本大震災による被害で山田線釜石~宮古間と常磐線富岡~浪江間が現在も不通となっている。JR常磐線については福島第一原子力発電所事故による影響が大きいが、山田線の不通が長引いたのは、BRT(バス)化したいJR側と鉄道での復旧を要望する地元側の対立が原因だったと言える。

大船渡線と気仙沼線はBRT化を受け入れたため、比較的早くバスが運行されることになったが、鉄道として復旧することはなくなってしまった。その後、JRから三陸鉄道への移管(と支度金など)を条件にこの区間が復旧することになった。

震災から7年半。2019年8月に全ての軌道工事が終了し、橋梁などの強度確認のため、この区間に震災後初めて鉄道車両が走った。
そして、震災から8年。やっとこの区間に再び鉄道が走ることになる。
三陸鉄道新時刻表
というわけで、三陸鉄道新時刻表を冊子の時刻表形式でどうぞ!

うん。無駄に凝ってしまった。
PDFはこちらからどうぞ!
やっぱこの形式で慣れてるから、こっちの方が見やすいよねぇ。
開業に伴う駅の体制変更
宮古駅営業体制変更
開業に伴い、宮古駅の敷地、建物は宮古市に全て譲渡(三陸鉄道は上下分離方式なので鉄道設備は宮古市所有)される。JRの営業関係社員も引き上げとなって、駅業務は全て三陸鉄道に移管される予定。つまりは、「みどりの窓口」は廃止。旅行センターも廃止。
なお、三陸鉄道の発表によるとJR乗車券の販売は行うとのこと。また、三鉄ツーリストが窓口営業を始めるということなので、旅行関係商品の販売については問題なさそう。ただ、「みどりの窓口」廃止に伴う代替措置があるのかないのかは不明。他社事例を考えると少なくとも「えきねっと」の受取はできなくなるのではないかと。まぁ、直前に受け取れば問題ないからいいのかな。直接の問題は山田線にたまに走る宮古発指定席連結快速をえきねっとで予約した場合、宮古側では一切受け取れないことになる。
指定席券は……三鉄ツーリストに存在すると言われる「ビジネスえきねっと」で発券するのかな。これが駅窓口に入るのか、三鉄ツーリスト営業時間だけなのか、マルスが残るのかは今のところ不明。
宮古駅の使用ホーム変更
現在、JR宮古駅は1~3番線まであり、それとは別に三鉄線ホームが存在する。
リアス線開業後は三鉄が1~2番線、JRが3番線使用となる見込みで、三鉄線ホームは廃止になる。ただし、観光列車や一部のJR列車は1番線使用で残る模様。
釜石駅の使用ホーム変更

現在、釜石駅は1~4番線まで使用しており、それとは別に三鉄線ホームがある形態。
JR列車は主に1~2番線を使用し、三鉄線が3~4番線を使用することになる。なお、一部JR列車は3番線発着がある模様。なお、三鉄線ホームは今後使用しない模様。
なお、営業体制については特に変更はなさそう。あるとすれば「みどりの窓口」閉鎖か。釜石駅は一応MVが入っているので、「えきねっと」受取は今後も可能。
運行本数
盛~釜石間 上下各11本(上下各1本増発)
釜石~岩手船越間 上下各11本(JR時代より上下各1本増発)
岩手船越~宮古間 上下各12本(JR時代より上下各2本増発)
宮古~岩泉小本間 上下各13本(うち上下各1本は土休日運休、上下各2本増発)
岩泉小本~久慈間 上下各12本(平日のみ上下各1本減便)
思ったよりは大盤振る舞いダイヤかなと。
車両運用
さて、これからダイヤグラムも作ったよ。推測した車両運用も分かるようにしたよ。

これはあくまで推測だよ。(車庫がないので)釜石駅・岩手船越駅・岩泉小本駅がらみの折返しは正確だと思うけど、盛駅、宮古駅、久慈駅については車庫があるので、本当にこの通り折り返すかどうかは不明。
運用数は10。そのうち朝のみの運用が2、盛と久慈でお昼寝するのが各1となっている。夜間停泊は盛1、釜石2、久慈2。宮古から出庫するのは5運用となる。
宮古発上り2D列車については2両運転で、途中の岩手船越で切り離す。この車両は折返し岩手船越発1D列車となって宮古に戻る。その他については2両運転があるのかないのか不明。今までなかったのでこれからもないであろうと思われる。
釜石駅の構造上、盛方向の到着出発が4番線からしかできないので、行き違いを行うことができない。そのため運用上は釜石をまたいで直通するけど、列車としては一旦切れるものがある。これはおそらく3番線到着→入換→4番線発車(4番線到着→入換→3番線発車)という手段を踏むものと思われる。
毎月20日に南リアス線を走るイオン提供の無料お買い物列車の処遇も特に発表なし。
使用車両
通常であれば10運用プラス予備で2運用分の12両あれば運用が回ることになる。
現在の三陸鉄道所有車両数は次の通り。

36-700型。震災後6両導入。今回リアス線開業に伴いさらに4両増備し、合計10両に。

三陸鉄道開業時から走っている36-100型。果たしてこれは残るのか。何両残ってるのかな。

これの右側の車両がレトロ車両である36-R型。これが3両在籍。この車両はレトロ仕様だけど、通常の運用にも使用可能。
このほかにお座敷車両である36-Z型が1両いる。
というわけで36-700と36-Rで全部で13両になることから、もしかしたら36-100は廃車になったりするのかも。来年のラグビーワールドカップまでは増結運用も考えられるので、そこまでは残すけどそれ以降に廃車になる可能性があるよ。
来年は全線貸切列車を走らせるよ!
というわけで、明るい話題がない三陸に、久々の明るい話題。
来年の夏ぐらいには三陸鉄道全線貸切列車を走らせたいと思ってるよ。ちょっと、まだ三鉄には話してないんだけどね。全線4時間半じゃ!貸切運賃も高そうだぜ!

みんな!たまには国内旅行しようぜ!
関東に住んでいる人が飛行機で行くのは至難の業だけどな。

ほら、一応ラグビーワールドカップもあるし。左の屋根がワールドカップ会場だよ!





































































